*上述信息以上年度12月31日为基准。
可见,我们可以从排名中基本了解到事务所的规模大小、收入状况、注册会计师数量、违规情况等信息。
那么,这一份排名是怎样得出的呢?我们来看一看排名的指标和各项权重:
根据《会计师事务所综合评价和排名办法》,
第十一条 事务所综合评价指标从事务所收入规模、内部治理、资源、处理处罚四个方面,反映事务所状况,共9个指标,包括:
(一)收入。指事务所经过审计的上年度主营业务收入金额。
(二)最近3年内内部晋升合伙人比率。指事务所最近3个年度内晋升的合伙人(股东)数量占3年前执业超过5年且年龄在60周岁以下的注册会计师数量的比率。
内部晋升合伙人,是指在该事务所执业超过3年后被晋升为合伙人的。
(三)注册会计师中员比率。指事务所中中共员注册会计师占事务所全部注册会计师的比率。
(四)执业超过5年且年龄在60周岁以内的注册会计师人数。
(五)信息化支出水平。指事务所财务报表中的“信息化支出”占事务所年度主营业务收入的比率。
(六)人才培养支出水平。指事务所财务报表中的“人才培养支出”占事务所年度主营业务收入的比率。
(七)注册会计师合伙人杠杆率。指事务所全部注册会计师数量与事务所全部合伙人(股东)数量的比率。
(八)品牌延续时间。指事务所现用名称的使用年限。
(九)处理处罚。指最近3个年度内事务所及其注册会计师因为执业行为受到刑事处罚、行政处罚、行政监管措施和行业惩戒的情况,按处理处罚的类型及处理处罚时点的远近扣除相应分值。
第十二条 事务所综合评价前百家排名依据第十一条9个指标计算评分,总分共计1000分,其中:
(一)收入指标,权重为40%,满分为400分。
(二)最近3年内内部晋升合伙人比率指标,权重为5%,满分为50分。
(三)注册会计师中员比率指标,权重为3%,满分为30分。
(四)执业超过5年且年龄在60周岁以内的注册会计师人数指标,权重为6%,满分为60分。
(五)信息化支出水平指标,权重为3%,满分为30分。
(六)人才培养支出水平指标,权重为3%,满分为30分。
(七)注册会计师合伙人杠杆率指标,权重为5%,满分为50分。
(八)品牌延续时间指标,权重为5%,满分为50分。
(九)处理处罚指标,权重为30%。无任何处理处罚,可得满分300分。
此次排名,中注协围绕事务所收入规模、内部治理、资源、处理处罚4个方面,设计了9个指标,结合行业实际情况和对指标数据的现实准确度对每个指标赋予了不同权重,对事务所进行评价。
从排名指标我们可以看到,中注协对会计师事务所进行排名时最重要的两个参考要素是收入规模(占比40%)和处理处罚信息(占比30%)。
排名概况国际四大
在今年的排名中,国际四大包揽了榜单的前4名。
普华永道中天会计师事务位列第一,2019年度拥有高达564,639.27万元的业务收入,拥有注册会计师1,279人和23家分所,已经是连续17年保持第一!
安永华明会计师事务所位居第二,较去年上升一位,2019年度业务收入437,464.46万元,拥有注册会计师1,471人和19家分所。
德勤华永会计师事务所位居第三,较去年下降一位,2019年度业务收入为410,181.98万元,拥有注册会计师1,216人和14家分所。
毕马威华振会计师事务所位居第四,较去年上升一位,2019年度业务收入为336,219.56万元,拥有注册会计师901人和12家分所。
本土八大
四大之后,我们再来看一下本土八大会计师事务所今年的表现。
天健会计师事务所排名第五,2019年度事务所本身业务收入247,119.31万元,与事务所统一经营的其他专业机构业务收入90,971.53万元,拥有注册会计师1,608人,分所14家。
立信会计师事务所排名第六,2019年度事务所本身业务收入373,863.79万元,与事务所统一经营的其他专业机构业务收入42,617.32万元,拥有注册会计师2,134人,分所31家。
信永中和会计师事务所排名第七,2019年度事务所本身业务收入204,112.95万元,与事务所统一经营的其他专业机构业务收入71,744.61万元,拥有注册会计师1,672人,分所23家。
致同会计师事务所排名第八,2019年度事务所本身业务收入198,981.18万元,与事务所统一经营的其他专业机构业务收入75,115.59万元,拥有注册会计师1,192人,分所27家。
天职国际会计师事务所排名第九,2019年度事务所本身业务收入199,668.68万元,与事务所统一经营的其他专业机构业务收入100,173.57万元,拥有注册会计师1,202人,分所24家。
大华会计师事务所排名第十,2019年度事务所本身业务收入199,035.34万元,与事务所统一经营的其他专业机构业务收入92,522.53万元,拥有注册会计师1,452人,分所29家。
大信会计师事务所位列第十二,2019年度事务所本身业务收入149,086.84万元,与事务所统一经营的其他专业机构业务收入93,665.06万元,拥有注册会计师1,157人,分所30家。
今年表现比较抢眼的是容诚会计师事务所,从去年的十七名上升到第十一名。2019年度事务所本身业务收入105,772.13万元,与事务所统一经营的其他专业机构业务收入22,705.80万元,拥有注册会计师860人,分所15家。
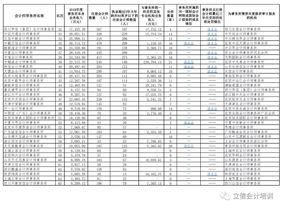
以下为《2019年度综合评价前100家会计师事务所信息》的完整排名:




返回搜狐,查看更多