2018年,秦建岭、张兰波两人向母校曲周一中捐款4万元,设立“杰出校友奖学金”;2019年,卢志宇、赵保迅两名曲周一中校友加入进来,秦建岭、张兰波、卢志宇、赵保迅4名校友捐款6万元,奖励优秀毕业生。
始于奉献与担当,一个关于曲周一中老校友与在校学生的故事,自此展开。
2020年和2021年,每年都有超过30位的一中校友和社会爱心人士向曲周一中捐款。

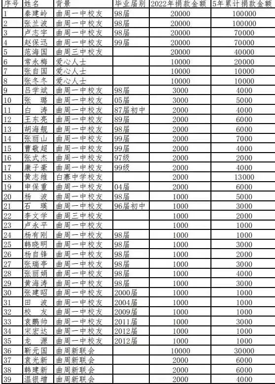
2022年5月29日,曲周县第一中学隆重举行杰出校友、爱心人士奖学金(第五届)发放仪式。45名捐款人捐助金额192000元,全部奖励给了123名高三优秀学生。

县委书记孟凡雄对曲周一中奖学金工作评语:“感谢各位老乡对家乡的关心和支持,对家乡的感恩与情怀。曲周永远是各位老乡的坚强后盾,也期望在我们的共同努力下,曲周越来越美好!”
秦建岭是曲周县南里岳乡马兰村人,1998年毕业于曲周一中,同年考入北京大学,是我县历史上唯一一位从曲周一中考入北京大学的毕业生。秦建岭在北京大学留校工作多年,之后赴美国纽约读研,毕业后与美国威翰地产集团合作土地开发,任中国区总经理。

2018年清明小长假期间,秦建岭与曲周一中上学时的同班同学张兰波(张兰波考入厦门大学,后继续在北京大学、清华大学攻读硕士、博士,曾任厦门大学学生会主席、全国学联执行主席等职,目前担任中国民生银行省级分行委书记、行长)在老家见面,约好一起到曲周一中看看。重回母校,秦建岭深为感慨,说出了自己一个心存已久的想法:作为曲周老家走出来的人,作为曲周一中培养的学生,总希望用一点心意来回报家乡的恩情,回报曲周一中的培养,希望能通过捐助并用于奖励的行为,激励学弟学妹,引导正能量,也希望更多的走出去的优秀曲周一中校友加入捐资助学的行列,把这件好事越做越大。
于是,秦建岭和张兰波每人当场认捐了2万元,并承诺此后每年拿出2万元用于优秀学生的奖励。“我们想起到一个抛砖引玉的作用,希望更多优秀校友能关心家乡,关心曲周一中,为曲周教育贡献自己的一份力量。” 张兰波说。
2019年4月5日上午,曲周一中西操场上,杰出校友奖学金颁发仪式暨励志报告会正在举行。秦建岭寄语一中学子:“we were you, you will be like us.”希望受奖学生若干年后成为“杰出校友”,回馈捐赠,形成“受捐-捐赠”的良性循环,杰出校友与杰出在校生互动,逐步形成学校、优秀学生、优秀校友之间互帮互助的良好组织氛围。

义举一出,全城响应。2020年,在秦建岭的倡议下,曲周一中校友和社会爱心人士39人捐款17.6万元,影响力与规模迅速扩大。同年5月,县长尹丽龙与秦建岭、卢志宇等捐款人会面座谈,夸赞他“以实际行动反哺家乡,助力学子圆梦,诠释了一名企业家的社会责任感和高尚的慈善情怀,彰显了榜样力量。”
2021年5月4日,第102个五四青年节,“秦建岭们”如约而至。在这次捐赠仪式上,杰出校友和心系教育的社会爱心人士,共计捐赠奖学金215000元,受奖学生105人。秦建岭向师生分享了自己成长经历,鼓励高三学子树立远大志向,一定要把握机遇,奋发学习,实现梦想。要有自己的人生规划,定下计划,就要坚持完成。5月6日,曲周一中召开优秀学生家长座谈会,在家长的见证下,杰出校友和社会爱心人士捐助的2021年度奖学金以现金形式全部发放到高三优秀学子手中。
五年接力和汇聚,一种关于奉献家乡曲周人与曲周教育的情怀,仍在继续。截至目前,秦建岭已经累计捐款并募集资金81.3万元支持家乡教育,532名优秀学生受奖。
曲周一中奖学金(2018年-2022年),已连续组织、募集、发放五届。过去5年,共计有137名捐款人,捐款总计68.3万元,奖励曲周一中优秀毕业生共计410人。


5年来,秦建岭还在母校曲周三中、马兰小学设立奖学金,累计有53人捐款13万元,122名优秀学生受奖,秦建岭个人捐款5万元。
短
评
“秦同学”的愿望

2022年高考已经落下帷幕。我们虽然不以高考论英雄,但成绩优秀的学生应该得到赞赏和肯定,这个价值导向毋庸置疑。24年前,从曲周一中走出一位“北大生”,他努力向上、奋力打拼、不断超越,目前已是国际知名地产集团中国区总经理。秦建岭同学以他优异的成绩、卓越的人格、不凡的成就,成为曲周一中学子的榜样。
秦建岭承诺每年向母校捐款2万元并且连续捐款10年,并争取向广大校友和社会各界募捐更多金额,他已经坚持了5年。
“we were you, you will be like us.( 我们是你们,你们会像我们一样)” 2019年,曲周一中杰出校友奖学金颁发仪式上,秦建岭这样寄语曲周一中学子。
《曲周一中奖学金实施方案》第八部分写道:受奖学生若干年后成为“杰出校友”,回馈捐赠,形成“受捐-捐赠”的良性循环。杰出校友与杰出在校生互动,逐步形成学校、优秀学生、优秀校友之间互帮互助的良好组织氛围。
承诺分量十足,寄语意味深长,方案精炼扼要,都在表达着一个无比美好的愿望,那就是坚持用实际行动影响曲周一中的学生们,激励他们向更优秀迈进,成才后加入到“秦同学”行列中来,一代一代曲周一中人传承带动、接续奉献,为家乡建设培养更多的人才,为曲周发展汇聚更多的力量。
新一届县委、县政府奏响了“务实创新、敬业担当”主旋律,曲周发展日新月异,每个曲周人都在思考如何为家乡发展出一份力。我们欣喜地看到,已经有越来越多有担当、负责任的有识之士行动起来,“秦同学”越来越多,“秦同学”的愿望也一定能实现。
原标题:《【奉献家乡曲周人】致敬奉献与担当!秦建岭连续5年为母校捐款募捐81.3万元奖励优秀学生》
阅读原文