赛派号

氢醌霜和熊果苷的区别 知乎盐选

第一节 催化加氢工艺原理

催化加氢过程根据反应机理可分两类:一类是在催化剂的作用下,氢气与油品中的 S、N、O 和重金属等少量杂质反应,以脱除杂质的加氢处理过程的反应,工业应用主要为加氢精制过程;另一类加氢过程是使油品中主要组分结构发生变化的加氢转化反应,工业应用主要为加氢裂化过程。

一、加氢处理反应

加氢精制是指在催化剂和氢气存在下,石油馏分中含硫、含氮、含氧化合物发生加氢脱硫、脱氮、脱氧反应,含金属的有机化合物发生氢解反应,烯烃和芳烃发生加氢饱和反应。通过加氢精制可以改善油品的气味、颜色和安定性,提高油品的质量,满足环保对油品使用的要求。

1.加氢脱硫反应

硫在石油馏分中的含量一般随馏分沸点的上升而增加。含硫化合物主要是硫醇、硫醚、二硫化物、噻吩、苯并噻吩和二苯并噻吩(硫芴)等物质。含硫化合物的加氢反应,是在加氢精制条件下石油馏分中的含硫化合物进行氢解,转化成相应的烃和 H2S,从而硫杂原子被脱掉。几种含硫化合物的加氢精制反应如下:

硫醇通常集中在低沸点馏分中,随着沸点的上升,硫醇含量显著下降,>300℃ 的馏分中几乎不含硫醇。硫醇加氢精制反应为:

RSH+H2加载中... HR+H2S

硫醚存在于中沸点馏分中,300~500℃ 馏分的硫化物中,硫醚可占 50%。重质馏分中,硫醚含量一般下降。硫醚加氢精制反应为:

加载中...

二硫化物一般存在于 110℃ 以上馏分中,在 300℃ 以上馏分中的含量无法测定。二硫化物加氢精制反应为:

加载中...

杂环硫化物是中沸点馏分中的主要硫化物。沸点在 400℃ 以上的杂环硫化物,多属于单环环烷烃衍生物,多环衍生物的浓度随分子环数增加而下降。杂环硫化物加氢精制反应为:

加载中...+H2加载中...加载中...加载中...C4H9SH加载中...C4H10+H2S

苯并噻吩加氢反应为:

加载中...+H2加载中...加载中...加载中...加载中...

加载中...

    加载中...

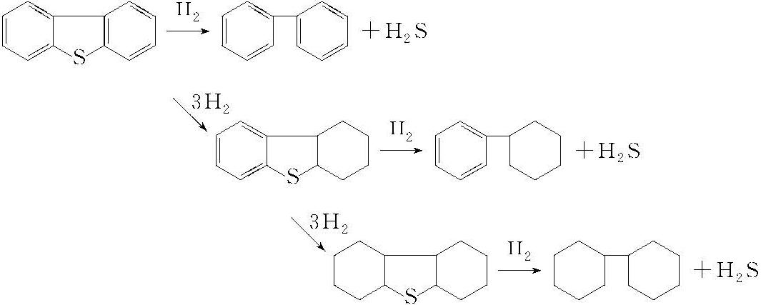
二苯并噻吩(硫芴)加氢反应为:

加载中...

含硫化合物的加氢反应速率与其分子结构有密切关系,不同类型含硫化合物的加氢反应速率按以下顺序递减:硫醇 > 二硫化物 > 硫醚 > 噻吩 > 苯并噻吩 > 二苯并噻吩。

2.加氢脱氮反应

石油馏分中的氮化物主要是杂环氮化物,非杂环氮化物含量很少。石油中的氮含量一般随馏分沸点的升高而增加。在较轻的馏分中,单环、双环杂环含氮化合物(吡啶、喹啉、吡咯、吲哚等)占支配地位,而稠环含氮化合物则集中在较重的馏分中。含氮化合物大致可以分为:脂肪胺及芳香胺类,吡啶、喹啉类型的碱性杂环化合物,吡咯、咔唑型的非碱性氮化物。

在加氢精制过程中,氮化物在氢作用下转化为 NH3和烃,从而脱除石油馏分中的氮,达到精制的目的。几种含氮化合物的加氢精制反应如下:

脂肪胺在石油馏分中的含量很少,它们是杂环氮化物开环反应的主要中间产物,很容易加氢脱氮。脂肪胺的加氢脱氮反应如下:

R—NH2加载中...RH+NH3

腈类可以看作是氢氰酸(HCN)分子中的氢原子被烃基取代而生成的一类化合物(RCN)。腈类在石油馏分中含量很少,较容易加氢生成脂肪胺,进一步加氢,C—N 键断裂释放出 NH3而脱氮。腈类的加氢脱氮反应如下:

RCN加载中...RCH2NH2加载中...RCH3+NH3

苯胺加氢在所有的反应条件下主要的烃产物是环己烷,其反应如下:

加载中...加载中...加载中...+NH3

六元杂环氮化物吡啶的加氢脱氮反应如下:

加载中...加载中...加载中...加载中...C5H11NH2加载中...C5H12+NH3

六元杂环氮化物中的喹啉是吡啶的苯同系物,加氢脱氮反应如下:

加载中...加载中...加载中...加载中...加载中...加载中...加载中...+NH3

五元杂环氮化物吡咯的加氢脱氮包括五元环加氢、四氢吡咯 C—N 键断裂以及正丁烷的脱氮。其反应如下:

加载中...加载中...C4H9NH2加载中...C4H10+NH3

五元杂环氮化物吲哚的加氢脱氮反应大致如下:

加载中...加载中...加载中...+NH3

五元杂环氮化物咔唑加氢脱氮反应如下:

加载中...

加氢脱氮反应基本上可分为不饱和系统的加氢和 C—N 键断裂两步。由以上反应总结出以下规律:

单环化合物的加氢活性顺序为:吡啶(280℃)> 吡咯(350℃)≈ 苯胺(350℃)> 苯类(>450℃)。由于聚核芳环的存在,含氮杂环的加氢活性提高,且含氮杂环较碳环活泼得多。

从加氢脱氮反应的热力学角度来看,氮化物在一定温度下需要较高的氢分压才能进行加氢脱氮反应,为了脱氮安全,一般采用比脱硫反应更高的压力。

在几种杂环化合物中,含氮化合物的加氢反应最难进行,稳定性最高。当分子结构相似时,三种杂环化合物的加氢稳定性顺序依次为:含氮化合物 > 含氧化合物 > 含硫化合物。

3.加氢脱氧反应

石油馏分中氧化物的含量很小,原油中含有环烷酸、脂肪酸、酯、醚和酚等。在蒸馏过程中这些化合物都发生部分分解转入各馏分中。石油馏分中经常遇到的含氧化合物是环烷酸。含氧化合物的氢解反应,能有效地脱除石油馏分中的氧,达到精制目的。几种含氧化合物的氢解反应如下:

酸类化合物的加氢反应:

R—COOH+3H2加载中... R—CH3+2H2O

酮类化合物的加氢反应:

R—CO—R'+3H2加载中... R—CH3+R'H+H2O

环烷酸和羧酸在加氢条件下进行脱羧基和羧基转化为甲基的反应,环烷酸加氢成为环烷烃。其反应为:

加载中...加载中...加载中...+2H2O

加载中...+CH4+2H2O

苯酚类加氢成芳烃:

加载中...+H2加载中...加载中...+H2O

呋喃类加氢开环饱和:

加载中...+4H2加载中... C4H10+H2O

在加氢进料中,各种非烃类化合物同时存在。加氢精制反应过程中,脱硫反应最易进行,无须对芳环先饱和而直接脱硫,故反应速率大而耗氢少;脱氧反应次之,脱氧化合物的脱氧类似于含氮化合物,先加氢饱和,后 C—杂原子键断裂;而脱氮反应最难。反应系统中,硫化氢的存在对脱氮反应一般有一定促进作用。在低温下,硫化氢和氮化物的竞争吸附而抑制了脱氮反应。在高温条件下,硫化氢的存在增加了催化剂对 C—N 键断裂的催化活性,从而加快了总的脱氮反应,促进作用更为明显。

版权声明:本文内容由互联网用户自发贡献,该文观点仅代表作者本人。本站仅提供信息存储空间服务,不拥有所有权,不承担相关法律责任。如发现本站有涉嫌抄袭侵权/违法违规的内容, 请发送邮件至lsinopec@gmail.com举报,一经查实,本站将立刻删除。

上一篇 没有了

下一篇没有了