赛派号

果汁机什么牌子质量好耐用点 哪些水果适合榨果汁喝?

那些含有许多细小种子的水果(比如草莓、猕猴桃、火龙果、百香果)适合榨汁喝。

植物希望你吃掉它们的果实,却不希望你破坏它们的种子。为了让种子完整地通过动物的消化道,许多植物会将细小而多的种子打包在果肉中。这些种子十分滑腻,哪怕我们刻意去咬,它们也会从唇齿间溜走。这些种子也大都有坚硬的外种皮,很难在胃肠中被消化。

这些种子无毒,且富含膳食纤维、不饱和脂肪酸、维生素、矿物质和抗氧化物质。囫囵吞枣的吃法会让这些宝贵的种子穿肠而过,导致营养白白浪费。搅拌机能将这些种子打碎,有助于营养物质的吸收。

对于这些水果来说,用搅拌机榨成果汁反而更有利于血糖控制。相比于传统榨汁机只提取果汁而去除果肉,搅拌机可以将整个水果均匀混合并保留纤维。

研究发现,与食用整个水果相比,饮用搅拌机制备的混合果汁(覆盆子、百香果、猕猴桃、菠萝、芒果和香蕉)可减少餐后血糖反应;但与整个芒果相比,芒果汁会轻微增加餐后血糖反应,尽管没有统计学意义[1]。(该研究使用了功率为600W、转速为20000rpm的搅拌机,加入125毫升水,加工30秒。)

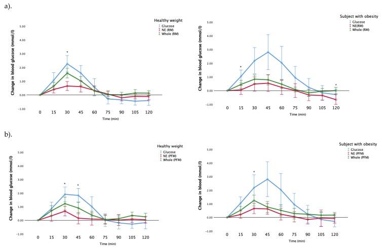
比较摄入葡萄糖、整个水果和搅拌机制作的果汁后血糖曲线下的增量面积。(a)混合水果;(b)单独使用芒果。

研究人员推测,研磨种子会释放出种子中的纤维、多酚、脂肪和蛋白质,从而减缓胃排空和葡萄糖的吸收速度[2]。由于芒果本身没有细小种子,所以最好整个食用。

即使是肥胖者也可以从这种果汁中获益。在肥胖的受试者中,与食用整个水果相比,用搅拌机制备的果汁可以显著降低血糖指数(GI)(覆盆子和芒果:25.43±18.20 vs. 44.85±20.18,p=0.034,百香果和芒果(26.30±25.72 vs. 42.56±20.64,p=0.044)[2]。

参考^Redfern KM, Cammack VL, Sweet N, Preston LA; SoBHCS Student Team; Jarvis MA, Rees GA. Nutrient-extraction blender preparation reduces postprandial glucose responses from fruit juice consumption. Nutr Diabetes. 2017 Oct 9;7(10):e288. doi: 10.1038/nutd.2017.36. PMID: 28991222; PMCID: PMC5678208.^abAlkutbe R, Redfern K, Jarvis M, Rees G. Nutrient Extraction Lowers Postprandial Glucose Response of Fruit in Adults with Obesity as well as Healthy Weight Adults. Nutrients. 2020 Mar 14;12(3):766. doi: 10.3390/nu12030766. PMID: 32183321; PMCID: PMC7146348.

版权声明:本文内容由互联网用户自发贡献,该文观点仅代表作者本人。本站仅提供信息存储空间服务,不拥有所有权,不承担相关法律责任。如发现本站有涉嫌抄袭侵权/违法违规的内容, 请发送邮件至lsinopec@gmail.com举报,一经查实,本站将立刻删除。

上一篇 没有了

下一篇没有了