来源:雪球App,作者: 阿尔贝特,(https://xueqiu.com/1248054041/311934047)

Apple在iPhone15 Pro Max中首次引入了潜望长焦模组。根据Apple官网和相关专利显示,区别于传统的单次反射转折90°的方案,苹果的潜望镜头采用四次反射棱镜架构。最近VIVO发布了X100 Ultra,潜望长焦做到了夸张的2亿像素,被戏称为“灭霸”。潜望长焦很大程度上决定了手机拍摄能力的上限,备受玩家的关注,今天我们就来聊聊手机潜望长焦,并以苹果四反潜望长焦专利为基础,来进行实际案例的设计。

传统潜望长焦架构
传统的潜望长焦通常采用45°棱镜,外界环境光透过摄像头deco玻璃后,被45°棱镜反射,光路转向90°,光线经过镜片组后聚焦到CIS上成像。

早期潜望长焦对于暗环境或者说夜拍没有特别高的要求,光圈在F3.5~F4.0居多,焦距在12~14mm之间,CIS的分辨率在1600万以内,整体模组尺寸可控。但是随着消费电子产品的需求升级,潜望长焦的性能要求越来越高:
1.为了获得更大的倍率,焦距从原来的13mm增加到17甚至20mm以上,潜望模组占用的空间越来越大,尤其是横向空间增加非常明显。
2.为了提升暗光拍照效果,光圈从F4.0做到F2.5以内,iPhone15ProMax为F2.8。潜望模组的通光口径越来越大,对应的纵向高度越来越大。
3.为了增加分辨率,CIS的像素从1200万提升到5000万以上,比如VIVO X00 ultra潜望长焦已经做到2亿像素,CIS达到1/1.4英寸。CIS的尺寸增大,对应整体模组的尺寸同步增大。

如上图所示,其他因素保持不变,焦距增大到1.5倍,横向尺寸肉眼可见的增大了。
近期发布的X100 ultra的CIS为1/1.4”,官方宣称标称倍率为3.7X,那我们据此可以测算出这颗长焦镜头的焦距应该在26mm~30mm的范围,对比之下iPhone长焦镜头焦距17mm,X100 ultra可以说是相当夸张了。拥有更大焦距,单位角度内可以对物体做更多的细节采样,再配合这颗2亿像素CIS,做到10X和20X的数字焦段,细节依然保留较好。
但是对应到实际产品中,我们看到X100 ultra手机宽度75mm左右,整个潜望长焦模组的横向长度尺寸已经来到35mm左右,模组宽度也快接近主摄尺寸,整个已经占满了deco的上方区域,结构堆叠占用如此巨大的空间,真是前所未见。所以在外观设计上,deco的下半部分有主摄和广角两颗摄像头通光孔,上半部分只有一个潜望模组通光孔,deco右上角只能做一些丝印,为了性能在外观上做一些妥协。

无独有偶,oppo find x6也是因为此种原因,导致deco区域大面积留白,显然有悖于ID设计的初衷。随着潜望模组焦距和体积的日益增大,传统单次反射光路转折90°的架构,给手机结构堆叠和外观设计带来了巨大的挑战。

四反架构解析
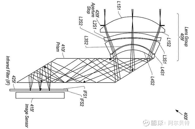
为了解决潜望长焦模组的空间占用问题,iPhone15ProMax对传统的潜望长焦架构进行了升级,如下图所示:
1. 把镜片组从棱镜后方,前置到棱镜上方。
2. 棱镜的楔角θ做到35°以下,把棱镜压扁压平,降低棱镜高度。配合结构上设计四次往复反射,大幅压缩了模组的横向长度。

我们先来看第1点, 镜片组前置先对环境光进行聚焦,而单反架构镜片组在棱镜后方,环境光过来后没有收束的动作,尤其是潜望长焦的视场角比较大的时候,四反架构相比单反架构,可以大幅缩减棱镜尺寸和镜片组口径,如下图所示,相同焦距和孔径下,显然单反架构镜片组尺寸更大。从这一点来讲,镜片组前置的四反架构更容易再镜片组尺寸相同的条件下,系统达成更大的光圈,更符合暗环境拍摄需求。

此时可能有朋友会有疑问,把镜片组前置到棱镜上方,那整个潜望长焦模组的高度不久大幅增加了吗?这是个非常好的问题。由于现在的主摄像头已经用上了8P镜头,1英寸的CIS,导致主摄像头的高度已经超过了手机的厚度。手机机身厚度大多在6mm~9mm范围,而高规格主摄像头的高度已经超过10mm,结构堆叠上放不进去,只能把摄像头deco区域抬升,如下图所示,现在的手机的摄像头位置都是凸起来的。我们把潜望镜片组前置到棱镜上方之后,潜望模组的高度依然比主摄模组低,所以我们可以放心地把它塞进抬高后的deco区域。

我们再来看第2点, 棱镜的楔角θ做到35°以下,实际iPhone是做到30°左右。把棱镜压扁压平,让光路在其中往复反射四次,除了四个反射表面还有入光和出光面,一共经历6个表面。其中,S2和S5不满足全内反射条件,所以该表面要镀反射膜。S1和S3表面有部分重合,S1是入射面,S3是反射面,因为S3满足全内反射条件,所以S1和S3重合不影响,S4和S6同理。通过上图对比可知,通过多次在棱镜中反射,相比单反架构的直接出射,极大降低了横向长度,尤其是镜头焦距越长,相比单反架构横向长度压缩越明显。
棱镜光路解析
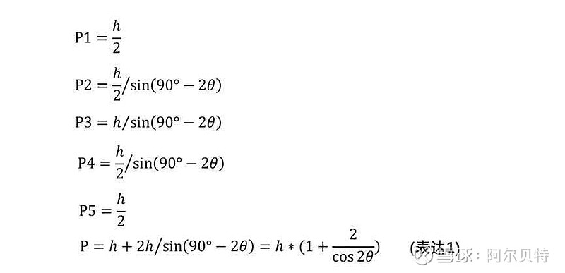
该四反棱镜结果如下所示,红色为中心光线,我们来计算该光线在棱镜中的长度。

假设棱镜的高度为h,楔角为θ,则中心光线在棱镜中走过的路径是5段折线,每段的长度以及总长度计算如下:

如果楔角θ=30°,我们很容易看到总长P=5h。
光学总体高度解析
潜望长焦镜头的总体高度由三部分组成:
d:镜片组高度,叠加镜片组和棱镜间隙的总体高度
h:棱镜的厚度
B:光线穿越棱镜的工作距,这里包含IR-cut滤片

在设计上严格要求光学总体高度不能超标。通常在设计阶段为了提高优化效率,我们通常会把棱镜展开成厚玻璃板进行设计。当棱镜的厚度变化时,我们的展开后的玻璃厚度也在同步变化,如何定量化确认厚度变化对实际架构总体光学高度的影响呢?
我们把棱镜后的长焦系统简化成下图来处理,假定棱镜前方的镜片组高度不变,则潜望长焦镜头的总体高度主要由玻璃板的厚度h,后方的工作距B共同决定(此处省去IR-cut)。

假设边缘光线以θ角入射到玻璃板,对应的折射角为i,边缘光线在玻璃板的入光面高度为d,在玻璃板出光面高度为d2,则很容易推导:
如果我们把玻璃厚度在当前基础上增加Δh,同理可得:
由于潜望长焦镜头的视场角不大,基本满足近轴关系。据此可知在玻璃厚度增加Δh的时候,后工作距减少量为Δh与玻璃折射率之比。
我们接着计算潜望镜头用折叠棱镜后的总体高度,把表达1和表达2带入高度表达式,我们可以推导出:
从上式可知,可以通过增加棱镜厚度来缩减多反架构潜望模组的整体高度,具体的变化关系就是表达式3,式中的Δh指的是光在棱镜材料中的路径长度增量,式中的θ指的是棱镜的楔角,式中的n指的是棱镜材料折射率。
棱镜长度解析:
对于棱镜的长度,同样我们也可以通过棱镜厚度h和楔角θ进行分解计算。

按照光路顺序,我们把棱镜长度依次拆解为5段,求得棱镜的总体长度为:
根据表达式1可知,光线总路径长度确定前提下,楔角越小棱镜越厚。下图中横坐标为楔角,纵坐标是当P=1时,对应的厚度比例。
根据表达式4可知,棱镜厚度确定的前提下,楔角越大棱镜越长。下图中横坐标为楔角,纵坐标是当h=1时,对应的长度L比例。
综合以上结论,棱镜楔角优选取值为28°~33°之间的范围。
镜头设计:
Apple这颗四反潜望镜头的设计规格如下:
根据焦距和CIS尺寸,可以计算出半视场角为9.43度。架构选择上,有两种路径:
1G+2P,玻璃镜片使用模造非球面
1G+3P,玻璃镜片使用研磨球面
为了缩减总体高度,我们采用镜片数量较少的架构,并且由于焦距和光圈的规格都不高,玻璃材料没必要选择超低色散的FCD100和MFCD1,而且FCD100的材料物性不能做模压非球面。此处我们选用M-BACD5N做模压玻璃非球面镜片。两个注塑镜片分别选择APL5514ML和EP8000即可。
为了更好地对高度进行约束,建议在镜片组后面加一个虚拟面,镜片组前表面到虚拟面之间的距离就是镜片组的总体高度。为了方便后续装配,虚拟面和棱镜之间要预留一定的间隙,这个间隙建议不低于0.3mm。

在优化过程中,没必要开始就把非球面系数全部打开,我们可以逐步增加非球面系数,从A4逐步加到A16。如果加到A16之后,性能依然有待提升,此时可以把偶次非球面切换成Q-Type继续优化。
本次设计,棱镜楔角我们设定30°,在zemax中,光线每次改变方向,我们都要用coordinate break来切换到新的坐标方位,通过多次坐标切换从而建立起多次反射光路。但是通过多次坐标断点建立的光路,棱镜各个表面没有衔接起来,会显得棱镜很怪异,我们需要对相关表面设定对应的光学口径,所有表面口径尺寸正确衔接后,棱镜外形就能正常显示。


此外,长焦对色散比较敏感,系统的光谱设定不能直接使用默认的FdC光谱,需要在短波方向把430nm甚至420nm囊括进来做后续设计,否则会导致实际拍摄存在明显的紫边效应。


思维发散:
本文根据Apple的长焦专利架构,详细解析了四次反射棱镜式潜望长焦的设计逻辑,大家可以根据这个逻辑来进行2次反射,3次反射,甚至5次反射潜望的架构分析,Apple的架构并不一定就是最合理的,大家可以多探讨,在有限的空间内做出更好的长焦镜头。
总结
本文根据Apple的长焦专利架构,详细解析了四次反射棱镜式潜望长焦的设计逻辑,向大家展示了数值计算确认结构配置的重要性。