
电功率的计算公式,用电压乘以电流,这个公式是电功率的定义式,永远正确,适用于任何情况。对于纯电阻电路,如电阻丝、灯炮等,可以用“电流的平方乘以电阻”“电压的平方除以电阻”的公式计算,这是由欧姆定律推导出来的。
但对于非纯电阻电路,如电动机等,只能用“电压乘以电流”这一公式,因为对于电动机等,欧姆定律并不适用,也就是说,电压和电流不成正比。这是因为电动机在运转时会产生“反电动势”。
例如,外电压为8伏,电阻为2欧,反电动势为6伏,此时的电流是(8-6)/2=1(安),而不是4安。因此功率是8×1=8(瓦)。
电工常用计算公式
一、利用低压配电盘上的三根有功电度表,电流互感器、电压表、电流表计算一段时间内的平均有功功率、现在功率、无功功率和功率因数。
(一)利用三相有功电度表和电流互感器计算有功功率

(1)
式中 N——测量的电度表圆盘转数 K——电度表常数(即每kW·h转数)
t——测量N转时所需的时间S
CT——电流互感器的变交流比
(二)在三相负荷基本平衡和稳定的情况下,利用电压表、电流表的指示数计算视在功率
(三)求出了有功功率和视在功率就可计算无功功率
(四)根据有功功率和现在功率,可计算出功率因数
例1某单位配电盘上装有一块500转/kW·h电度表,三支100/5电流互感器,电压表指示在400V,电流表指示在22A,在三相电压、电流平衡稳定的情况下,测试电度表圆盘转数是60S转了5圈。求有功功率、现在功率、无功功率、功率因数各为多少? [解]①将数值代入公式(1),得有功功率P=12kW
②将数值代入公式(2);得视在功率S=15kVA
③由有功功率和视在功率代入公式(3),得无功功率Q=8l kVar
④由有功功率和现在功率代入公式(4),得功率因数cosφ= 0.8
二、利用秒表现场测试电度表误差的方法
(一)首先选定圆盘转数,按下式计算出电度表有N转内的标准时间
式中 N——选定转数
P——实际功率kW
K——电度表常数(即每kW·h转数)
CT——电流互感器交流比
(二)根据实际测试的时间(S)。求电度表误差

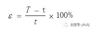
(2)
式中 T——N转的标准时间s t——用秒表实际测试的N转所需时间(s)
注:如果计算出的数是正数,电度表决;负数,则是慢。
【例】某用户有一块750转/kW·h上电度表,配有150/5电流互感器,接有10kW的负载,现场测试60s圆盘转了5圈。求电度表误差是多少?〔解〕①先求电度表转5圈时的标准秒数由公式(1),得T=72s ②由公式(2)得出电度表误差ε=20%,快20%。
三、配电变压器的高低压熔丝选择方法
(一)先计算变压器高低压侧的额定电流

(3)
式中 S——变压器容量kVA
U——电压kV
(二)高压熔丝=Ix(1.5~2.5) (2)
(三)低压保险丝=低压额定电流(I) (3)
(例)有一台50kVA变压器,高压侧额定电压10kV,低压侧的额定电压 0.4kV。求高低压的额定电流各是多少 A?高压侧应选择多少A的熔丝?低压侧应选择多少A的保险丝? 〔解〕①将数值代入公式(1),得高压电流I= 2.8 A
②将数值代入公式(l),得低压电流I=72A ③高压侧熔丝=2.8x(1.5~2.5)=4.2~7A可选择5A的熔丝。
④低压额定电流是72A,可选择80A的保险丝。
四、架空线路铝绞线的截面选择简捷公式
(一)首先计算负荷矩M=kW.km
(二)选用铝导线时,每kW·km可按4mm2估算,即;导线截面S=M·4mm2
[例]某单位在离配电变压器800m处按一台10kW的电动机。应选择多大截面的铝绞线?解〕①先把m化成km,即800m=0.8km
②计算负荷矩M= 10 x 0.8=8kW·km
③将数值代入公式(2),得导线截面 S= 8 x 4=32mm2,应选35mm2的铝绞线。
五、拉线坑与电杆的距离和拉线长度的计算公式
(一)拉线坑与电杆的距离计算公式L=h·ctga(m) 式中 h——电杆高度(电杆在地面与拉线悬挂点间的高度)
a——拉线与电杆的夹角(技术规程规定拉线与电杆的夹角一般采用45˚,在地形限制的情况下可采用30˚或60˚)
注:Ctg45˚=1 ctg30˚=1.732 ctg60˚=0.577
(二)使用楔型线夹扎上把,uT型线夹扎下把时拉线长度计算公式:
L=h/sina十上下把绑扎长度——拉线棒露出地面的长度 式中 h——电杆高度(电杆在地面与拉线悬挂点间的高度)m
a——拉线与电杆的夹角
注:Sin45˚=0.707, Sin30˚=0.5,Sin60˚=0.866。
[例]有一根终端杆打一条拉线,电杆在地面与拉线悬挂点间的高度是8m,电杆与拉线的夹角是45˚,拉线上把使用楔型线夹,下把使用uT型线夹,上下把绑扎长度 lm,拉线棒露出地面lm.计算拉线坑与电杆间的距离和拉线长度各为多少m?
[解]①将数值代入公式(1),得拉线坑与电杆间的距离L=8m
②将数值代入公式(2),得拉线长度L=11.3m
电缆计算公式
1.护套厚度:挤前外径×0.035+1(符合电力电缆,单芯电缆护套的标称厚度应不小于1.4mm,多芯电缆的标称厚度应不小于1.8mm)
2.在线测量护套厚度:护套厚度=(挤护套后的周长—挤护套前的周长)/2π 或护套厚度=(挤护套后的周长—挤护套前的周长)×0.1592
3.绝缘厚度最薄点:标称值×90%-0.1 4.单芯护套最薄点:标称值×85%-0.1 5.多芯护套最薄点:标称值×80%-0.2
6.钢丝铠装:根数= {π×(内护套外径+钢丝直径)}÷(钢丝直径×λ) 重量=π×钢丝直径²×ρ×L×根数×λ 7.绝缘及护套的重量=π×(挤前外径+厚度)×厚度×L×ρ
8.钢带的重量={π×(绕包前的外径+2×厚度-1) ×2×厚度×ρ×L}/(1+K) 9.包带的重量={π×(绕包前的外径+层数×厚度)×层数×厚度×ρ×L}/(1±K)
其中:K为重叠率或间隙率,如为重叠,则是1-K;如为间隙,则是1+K ρ为材料比重;L为电缆长度;λ绞入系数。
电缆线径计算方法
电线电缆的规格都是用横截面积表示的如1.5mm2 2.5mm2等,但是怎么估算里面铜线或铝线的直径呢,要是电缆进场,怎样检测线的粗细是否合格。通常可以将导线的截面积除以导线股数,再除以3.14后开平方,其值乘以2就可以算出线径。用千分尺检测线径大小按前面步骤反算就可以求出导线截面面积。如1.5平方独股铜线线径1.38mm,计算(1.38/2)×(1.38/2)×3.14×1股=1.494954平方,这就是合格的国标线径!
单相电知识
耗电量、功率、电流、电压的关系
A、耗电量单位:千瓦.小时 (KW∙H),简称“度”
B、功率(P)单位:瓦特,简称瓦(W)
C、电流(I)单位:安培,简称安(A)D、电压(U)单位:伏特,简称伏(V),家用电源一般是单相交流电,电压为220伏;工业用电源是三相交流电,电压为380伏。
E、功率=电流×电压 ,即P=U×I
F、耗电量=功率×用电时间,即耗电量= P× T。耗电量的单位是度,1度电是指1000瓦的功率使用1小时所消耗的用电量。
耗电量、功率、电流、电压的关系
A、耗电量单位:千瓦.小时 (KW∙H),简称“度”
B、功率(P)单位:瓦特,简称瓦(W)
C、电流(I)单位:安培,简称安(A)D、电压(U)单位:伏特,简称伏(V),家用电源一般是单相交流电,电压为220伏;工业用电源是三相交流电,电压为380伏。
E、功率=电流×电压 ,即P=U×I
F、耗电量=功率×用电时间,即耗电量= P× T。耗电量的单位是度,1度电是指1000瓦的功率使用1小时所消耗的用电量。