2025年农学门类联考考试大纲
数学I.考试性质
农学门类联考数学是为高等院校和科研院所招收农学门类的硕士研究生而设置的具有选拔性质的全国联考科目。其目的是科学、公平、有效地测试考生是否具备继续攻读农学门类各专业硕士学位所需要的知识和能力要求,评价的标准是高等学校农学学科优秀本科毕业生所能达到的及格或及格以上水平,以利于各高等院校和科研院所择优选拔,确保硕士研究生的招生质量。
II.考查目标
农学门类数学考试涵盖高等数学、线性代数、概率论与数理统计等公共基础课程。要求考生比较系统地理解数学的基本概念和基本理论,掌握数学的基本方法,具备抽象思维能力、逻辑推理能力、空间想象能力、运算能力以及综合运用所学的知识分析问题和解决问题的能力。
III.考试形式和试卷结构
一、试卷满分及考试时间
试卷满分为 150 分,考试时间为 180 分钟.
二、答题方式
答题方式为闭卷、笔试.
三、试卷内容结构
高等数学 60%
线性代数 20%
概率论与数理统计 20%
四、试卷题型结构
单项选择题10小题,每小题 5 分,共 50 分
填空题 6 小题,每小题 5 分,共 30 分
解答题(包括证明题) 6 小题,共 70 分
Ⅳ.考查内容
高等数学
一、函数、极限、连续
考试内容
函数的概念及表示法 函数的有界性、单调性、周期性和奇偶性 复合函数、反函数、分段函数和隐函数 基本初等函数的性质及其图形 初等函数 函数关系的建立
数列极限与函数极限的定义及其性质 函数的左极限和右极限 无穷小量和无穷大量的概念及其关系 无穷小量的性质及无穷小量的比较 极限的四则运算 极限存在的两个准则:单调有界准则和夹逼准则 两个重要极限:


函数连续的概念 函数间断点的类型 初等函数的连续性 闭区间上连续函数的性质
考试要求
1.理解函数的概念,掌握函数的表示法,会建立应用问题中的函数关系.
2.了解函数的有界性、单调性、周期性和奇偶性.
3.理解复合函数及分段函数的概念,了解反函数及隐函数的概念.
4.掌握基本初等函数的性质及其图形,了解初等函数的概念.
5. 了解数列极限和函数极限(包括左极限和右极限)的概念.
6.了解极限的性质与极限存在的两个准则,掌握极限的四则运算法则,掌握利用两个重要极限求极限的方法.
7.理解无穷小量的概念和基本性质,掌握无穷小量的比较方法,了解无穷大量的概念及其与无穷小量的关系.
8.理解函数连续性的概念(含左连续与右连续),会判断函数间断点的类型.
9.了解连续函数的性质和初等函数的连续性,理解闭区间上连续函数的性质(有界性、最大值和最小值定理、介值定理),并会应用这些性质.
二、一元函数微分学
考试内容
导数和微分的概念 导数的几何意义 函数的可导性与连续性之间的关系 平面曲线的切线和法线 导数和微分的四则运算 基本初等函数的导数 复合函数和隐函数的微分法 高阶导数 微分中值定理 洛必达(L’Hospital)法则 函数单调性的判别 函数的极值函数图形的凹凸性、拐点及渐近线 函数的最大值与最小值
考试要求
1.理解导数的概念及可导性与连续性之间的关系,了解导数的几何意义,会求平面曲线的切线方程和法线方程.
2.掌握基本初等函数的导数公式、导数的四则运算法则及复合函数的求导法则,会求分段函数的导数,会求隐函数的导数.
3.了解高阶导数的概念,掌握二阶导数的求法.
4.了解微分的概念以及导数与微分之间的关系,会求函数的微分.
5.理解罗尔(Rolle)定理和拉格朗日(Lagrange)中值定理,掌握这两个定理的简单应用.
6.会用洛必达法则求极限.
7.掌握函数单调性的判别方法,了解函数极值的概念,掌握函数极值、最大值和最小值的求法及应用.
8.会用导数判断函数图形的凹凸性[注:在区间(a,b)内,设函数 f(x)具有二阶导数.当f (x)''> 0 时,f(x)的图形是凹的;当f (x)''<0,f(x)的图形是凸的],会求函数图形的拐点和渐近线(水平、铅直渐近线).
三、一元函数积分学
考试内容
原函数和不定积分的概念 不定积分的基本性质 基本积分公式 定积分的概念和基本性质 定积分中值定理 积分上限的函数与其导数 牛顿-莱布尼茨(Newton-Leibniz)公式 不定积分和定积分的换元积分方法与分部积分法 反常(广义)积分 定积分的应用
考试要求
理解原函数与不定积分的概念,掌握不定积分的基本性质与基本积分公式,掌握不定积分的换元积分法与分部积分法.了解定积分的概念和基本性质,了解定积分中值定理,理解积分上限的函数并会求它的导数,掌握牛顿莱布尼茨公式,以及定积分的换元积分法与分部积分法.3.会利用定积分计算平面图形的面积和旋转体的体积.
4.了解无穷区间上的反常积分的概念,会计算无穷区间上的反常积分.
四、多元函数微积分学
考试内容
多元函数的概念 二元函数的几何意义 二元函数的极限与连续的概念 多元函数偏导数的概念与计算 多元复合函数的求导法与隐函数求导法 二阶偏导数 全微分 多元函数的极值和条件极值 二重积分的概念、基本性质和计算
考试要求
1.了解多元函数的概念,了解二元函数的几何意义.
2.了解二元函数的极限与连续的概念.
3.了解多元函数偏导数与全微分的概念,会求多元复合函数一阶、二阶偏导数,会求全微分,会求多元隐函数的偏导数.
4.了解多元函数极值和条件极值的概念,会求二元函数的极值,会求多元函数的条件极值.
5.了解二重积分的概念与基本性质,掌握二重积分的计算方法(直角坐标、极坐标).
五、常微分方程
考试内容
常微分方程的基本概念 变量可分离的微分方程 一阶线性微分方程
考试要求
1.了解微分方程及其阶、解、通解、初始条件和特解等概念.
2.掌握变量可分离的微分方程和一阶线性微分方程的求解方法.
线性代数
一、行列式
考试内容
行列式的概念和基本性质 行列式按行(列)展开定理
考试要求
1.了解行列式的概念,掌握行列式的性质.
2.会应用行列式的性质和行列式按行(列)展开定理计算行列式.
二、矩阵
考试内容
矩阵的概念 矩阵的线性运算 矩阵的乘法 方阵的幂 方阵乘积的行列式 矩阵的转置 逆矩阵的概念和性质 矩阵可逆的充分必要条件 伴随矩阵 矩阵的初等变换 初等矩阵 矩阵的秩 矩阵的等价
考试要求
1.理解矩阵的概念,了解单位矩阵、对角矩阵、三角矩阵的定义及性质,了解对称矩阵、反对称矩阵及正交矩阵等的定义和性质.
2.掌握矩阵的线性运算、乘法、转置以及它们的运算规律,了解方阵的幂与方阵乘积的行列式的性质.
3.理解逆矩阵的概念,掌握逆矩阵的性质以及矩阵可逆的充分必要条件,了解伴随矩阵的概念,会用伴随矩阵求逆矩阵.
4.了解矩阵的初等变换和初等矩阵及矩阵等价的概念,理解矩阵的秩的概念,掌握用初等变换求矩阵的逆矩阵和秩的方法.
三、向量
考试内容
向量的概念 向量的线性组合与线性表示 向量组的线性相关与线性无关 向量组的极大线性无关组 等价向量组 向量组的秩 向量组的秩与矩阵的秩之间的关系
考试要求
1.了解向量的概念,掌握向量的加法和数乘运算法则.
2.理解向量的线性组合与线性表示、向量组线性相关、线性无关等概念,掌握向量组线性相关、线性无关的有关性质及判别法.
3.理解向量组的极大线性无关组和秩的概念,会求向量组的极大线性无关组及秩.
4.了解向量组等价的概念,了解矩阵的秩与其行(列)向量组的秩之间的关系.
四、线性方程组
考试内容
线性方程组的克拉默(Cramer)法则 线性方程组有解和无解的判定 齐次线性方程组的基础解系和通解 非齐次线性方程组的解与相应的齐次线性方程组的解之间的关系 非齐次线性方程组的通解
考试要求
1.会用克拉默法则解线性方程组.
2.掌握非齐次线性方程组有解和无解的判定方法.
3.理解齐次线性方程组的基础解系的概念,掌握齐次线性方程组的基础解系和通解的求法.
4.了解非齐次线性方程组的结构及通解的概念.
5.掌握用初等行变换求解线性方程组的方法.
五、矩阵的特征值和特征向量
考试内容
矩阵的特征值和特征向量的概念、性质 相似矩阵的概念及性质 矩阵可相似对角化的充分必要条件及相似对角矩阵 实对称矩阵的特征值、特征向量及其相似对角矩阵
考试要求
1.理解矩阵的特征值、特征向量的概念,掌握矩阵特征值的性质,掌握求矩阵特征值和特征向量的方法.
2.了解矩阵相似的概念和相似矩阵的性质,了解矩阵可相似对角化的充分必要条件,会将矩阵化为相似对角矩阵.
3.了解实对称矩阵的特征值和特征向量的性质.
概率论与数理统计
一、随机事件和概率
考试内容
随机事件与样本空间 事件的关系与运算 概率的基本性质 古典型概率 条件概率 概率的基本公式 事件的独立性 独立重复试验
考试要求
1.了解样本空间的概念,理解随机事件的概念,掌握事件的关系及运算.
2.理解概率、条件概率的概念,掌握概率的基本性质,会计算古典型概率,掌握概率的加法公式、减法公式、乘法公式、全概率公式以及贝叶斯(Bayes)公式.
3.理解事件独立性的概念,掌握用事件独立性进行概率计算;理解独立重复试验的概念,掌握计算有关事件概率的方法.
二、随机变量及其分布
考试内容
随机变量 随机变量的分布函数的概念及其性质 离散型随机变量的概率分布 连续型随机变量的概率密度 常见随机变量的分布 随机变量函数的分布
考试要求
理解随机变量的概念,理解分布函数F(x)=P{X≤x}(-∞<x<+∞)
的概念及性质,会计算与随机变量相联系的事件的概率.
2.理解离散型随机变量及其概率分布的概念,掌握 0-1 分布、二项分布 B(n,p)、泊 松(Poisson)分布 P(λ)及其应用.
3.理解连续型随机变量及其概率密度的概念,掌握均匀分布 U(a,b)、正态分布 N(μ,δ2)、指数分布及其应用,其中参数为λ(λ>0)的指数分布的概率密度为
4.会求随机变量简单函数的分布.
三、二维随机变量及其分布
考试内容
二维随机变量及其分布 二维离散型随机变量的概率分布和边缘分布 二维连续型随机变量的概率密度和边缘概率密度 随机变量的独立性和不相关性 常用二维随机变量的分布 两个随机变量简单函数的分布
考试要求
1.理解二维随机变量的概念,理解二维随机变量的分布的概念和性质,理解二维离散型随机变量的概率分布和边缘分布,理解二维连续型随机变量的概率密度和边缘密度,会求与二维离散型随机变量相关事件的概率.
2.理解随机变量的独立性和不相关性的概念,了解随机变量相互独立的条件.
3.了解二维均匀分布,了解二维正态分布N(µ1,µ2;σ1,σ2;ρ)的概率密度,了解其中参数的概率意义
4.会求两个独立随机变量和的分布.
四、随机变量的数字特征
考试内容
随机变量的数学期望(均值)、方差、标准差及其性质 随机变量简单函数的数学期望 矩、协方差和相关系数及其性质
考试要求
1.理解随机变量数字特征(数学期望、方差、标准差、矩、协方差、相关系数)的概念,会运用数字特征的基本性质,并掌握常用分布的数字特征.
2.会求随机变量简单函数的数学期望.
五、大数定律和中心极限定理
考试内容
切比雪夫(Chebyshev)不等式 切比雪夫大数定律 伯努利(Bernoulli)大数定律 棣莫弗一拉普拉斯(De Moivre-Laplace)定理 列维一林德伯格(Levy-Lindberg)定理
考试要求
1.了解切比雪夫不等式.
2.了解切比雪夫大数定律和伯努利大数定律.
3.了解棣莫弗—拉普拉斯定理(二项分布以正态分布为极限分布)和列维—林德伯格定理(独立同分布随机变量序列的中心极限定理).
六、数理统计的基本概念
考试内容
总体 个体 简单随机样本 统计量 样本均值 样本方差和样本矩 X2分布 t 分布 F分布 分位数 正态总体的常用抽样分布
考试要求
1.了解总体、简单随机样本、统计量、样本均值、样本方差及样本矩的概念,其中样本方差定义为
2.了解 X2分布、t 分布和 F 分布的概念和性质,了解分位数的概念并会查表计算.
3.了解正态总体的常用抽样分布.
农学门类联考314数学农复习经验全文字数10000+,保证干货与细节满满,参考资料、复习计划、25真题考情分析、25考研大纲,你想知道的都在这里,备考314数学农,一篇就够啦!建议小伙伴们收藏后慢慢食用~
一、参考书目:
必买资料书:
《数学复习指南暨习题解析2025》(王来生主编、中国农业大学出版社)(26版预计在5-6月份上市)
《农学门类联考314数学农复习全书》2026基础篇+强化篇+冲刺篇+思维导图(赠)(农学考研中心著)
必买资料书介绍
复习指南:农学考研公认经典资料,基本人手一本。本书结构是知识点介绍+大量习题,优点是有大量习题可供练习,缺点是:1、有少许错误,官方说每年也都有修订,其实没有修订(每年同学吐槽的老梗);2、基础和强化没有分开,题目跨度较大;3、缺少考纲内部分知识点(分段函数、渐近线、不定积分的基本公式、换元积分法和分部积分法、定积分性质、二元函数的几何意义、常见矩阵、伴随矩阵、可逆的充分必要条件、用伴随求可逆矩阵、向量组的等价)
农学门类联考314数学农复习全书2026版(农学考研中心著)。本书结构分为:基础篇:考纲内要求知识点(必须记忆知识点已经标出)+每章节思维导图+基础自测题(题目来源为经过筛选符合314数学考试要求的较为简单的题目及答案和解析)+强化篇:数学农所有题型+314数学农考试频率(覆盖08-25年所有年份真题)+解题思路(数农做题方法的总结)+精选例题+冲刺篇:真题及真题解析(08-25年)(解析和强化篇题型照应),缺点:人工手打,内容多会有少许打印错误(后续会进行订正)。
可选小程序:
农学考研中心:含有314考纲要求范围内的知识点(空余时间刷)+习题+历年真题等+配套辅导视频

不推荐资料书:
数学三复习全书(李永乐主编)、数学农复习全书(李永乐主编)、历年真题与全真模拟解析(王来生主编)
不推荐资料书介绍:
可能有同学疑惑,不推荐资料书介绍什么。每年同学都会有购买这几本书,我把这几本书的结构,优缺点介绍清楚,同学根据自己情况进行购买。
数学三复习全书(李永乐主编):有上岸学长推荐,但数学三和数学农有本质的不同,数学农范围小,考试侧重点与数三不同,例如:在数学三中连续型随机变量重要性远远大于离散型随机变量,但数学农对连续性和离散型考察侧重差不多,由于对考试题目计算量考量,离散型一般可以考察到协方差和相关系数层次,连续型一般只能考察到求概率或者数学期望,不会考察到协方差和相关系数层次,因为计算量太大,不符合题目难度要求。具体来说:离散型随机变量协方差与相关系数的计算考察10次,连续型随机变量协方差与相关系数的计算考察0次。数学三线代向量会有较难证明题目出现,数学农没有出现过。
(例题:21年22题)21年唯一一道大题
将2个球一次随机放入1,2,3,4四个盒子,分别表示1号和2号盒子中球的个数
(1)求联合概率分布
(2)求与的相关系数
有好多同学也说我的学长用了这个考了140多分,不抬杠,对于大多数同学来数,用数学三来解决数学农适用性比较低,需要花费的精力也比较大。数学农有自己的出题方式。
数学农复习全书(李永乐主编):该书为李永乐团队为数学农出的一本书,该书结构为:知识点+少量习题+历年真题,缺点是题目太少,没有总结数学农做题方法。
历年真题与全真模拟解析(王来生主编):该书与复习指南是姊妹篇,该书结构为:模拟题+真题及解析。缺点是:模拟题部分有大量的超纲题目,且难度浮动较大,与真题差距较大,达不到全真模拟的效果,缺最新真题题目。
二、复习规划
以下时间根据个人情况可自行调整:
1、基础阶段:建议安排2-3个月,大三下学期
1)过教材,理解考纲要求范围内的知识点
教材选取没有很强针对性,无论选取哪个版本都和考纲对照起来,教材是针对本科教学使用,并非考研使用,如果个人看书难度较大,可以考虑部分视频(汤家凤/张宇高数、李永乐线代、汤家凤概率论,名师没有针对数农单独讲解,故需要结合考纲及数农题型进行掌握)辅助,或者借助农学考研中心314数学农录播课进行辅助(结合314数学农复习全书讲解)辅助,基础阶段在理解基础上需要记忆知识点,例如求导公式、等价无穷小等。可以使用小程序:农学考研中心进行辅助。
2)做基础练习,提高计算能力,掌握基本定理、公式
基础阶段需要大量练习基础题目,提高自己计算能力,近几年考生觉得数学农难度加大,主要体现在计算量变大。很多考生经过长时间没有学习数学,提高计算能力是第一步,基础阶段选取简单题目,养成良好计算能力。同时很多考生感觉计算量大另外一个原因为对于基本的公式、定理没有熟练掌握,不能熟练使用技巧。
3)阶段检测
基础阶段过完一遍,可以使用早些比较简单年份真题进行全真模拟,例如08年、09年
2、强化阶段:建议安排1.5-2个月,暑假期间
1)练习综合性题目,熟练掌握数学农各种题型解题思路
到了强化阶段,需要做难度略高于真题,出题风格接近真题的综合类题目,并从中熟练掌握做题方法(农学门类联考314数学农复习全书强化篇:数学农题型分类+解题思路+精选例题),同时自己也可以根据做题方法,找相关题目(可以选择复习指南题目)进行归类总结。数学农题型不多,每种题型都有固定的解题思路,强化阶段主要就是掌握解题思路,举一反三。例如:求求未定式函数极限

熟练掌握每种未定式的特征及解题思路,达到一通百通,同时可以将早些年份真题(比如08-15)开始分题型进行刷题,因为早些年份真题契合数学农出题方式,但难度较小,达不到冲刺全真模拟的目的,强化用于强化题型效果更佳,为冲刺腾出更多时间刷难度更接近近几年出题的难度的真题及模拟题。
2)掌握技巧,考纲范围内的要求的性质
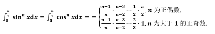
数学有比较多的小技巧,熟练记忆能够大大简化运算,同时还能帮助考试检查是否计算正确,比如点火公式:

不用反复降次来计算,直接写答案。
3)总结错题,归纳整理(包含计算错误)
错题总结按照计算错误、思路错误去归纳。尤其是计算错误,根据学长七年辅导经验来看,大多数同学计算错误不是简单的不细心,而是习惯性计算错误,建议考生:1、做题时候出现错误直接在题目旁边标注清楚是哪种错误,可以不专门整理一个错题本。但最好把自己错误的原因专门记录,有空翻阅!2、日常做题时候最好准备2个本子,一个本子作为写正常步骤,另外一个本子用来草稿计算,需要注意的是,每个本子都标注清楚题号,方便自己查阅自己的错误原因。
4)规范做题步骤
强化阶段做题不要单纯追求计算结果正确即可,建议做题后,与标准答案去核对,形成规范的做题步骤。

5)阶段检测
强化阶段结束,可进行阶段检测
3、冲刺阶段:建议1.5-2个月,
1)控时成套真题全真模拟,严格批改,总结题型,加强解题方法的掌握。
真题总共08-25年共计18套真题,刚才讲了强化阶段08-15年真题可以作为强化题型练习,剩余,剩余10套题目,可以三天一套真题,掐着3个小时进行全真模拟,形成考试感觉(最后记得留近3年题目到最后模拟使用)模拟后按照标准答案进行批卷,看自己真实水平,好多同学模拟时候只进行对答案,答案对了,皆大欢喜,不管了,最后导致发现考研成绩没有自己预估的高,那是因为自己平时对自己要求不严格。批卷后对自己错题按照强化阶段所述方法进行分类,计算错误还是思路问题。最后对真题按照题型进行归类,(农学门类联考314数学农复习全书冲刺篇真题解析均有题型分类,可按照分类找到强化篇加强做题方法的掌握)。
2)真题题型归纳总结
真题全部做完之后呢,我们需要做的就是对我们做过的真题进行归纳总结重新做一遍,这个工作绝大多数之前年份考过同学都没有这么做过。这么做的好处是:
①熟练把握数学农出题规律,掌握重点题型;
②最大程度利用到真题,用最少时间掌握考察最多的内容。很多同学感觉做数学三的题目感觉和数农真题不像,做王来生的复习指南感觉题目有时候也不像,题量还很大;无论基础好与坏的同学,都建议进行这个阶段,基础差的同学,可能进行复习指南觉得内容多,甚至有些内容偏,做不完,既然你时间有限,那就把真题利用到极致,把真题的题型都给掌握了。总比把时间花在让你很头疼每年都没有考过的题目上好一些!有的放矢。对于基础好的同学,那就是锦上添花,这个过程对于基础好的同学把真题更容易形成体系。
3)选择与314真题接近的模拟题进行模拟练习
314真题风格比较固定,计算量有所提升。选择与314数学农比较接近的成套题目进行练习,最后保持手感。
4、考前一周
1)回归基础,浏览考纲范围内的知识点,扫除盲区
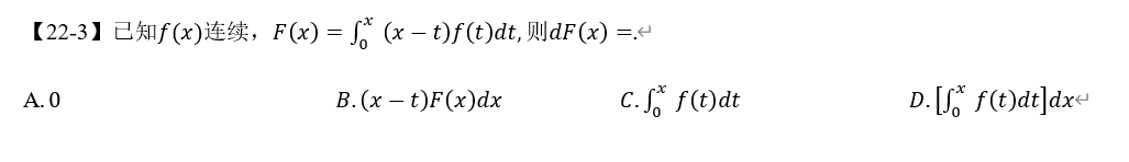
每年真题都会出比较基础的知识性题目(尤其选择填空),平常大家可能不注意,只记得计算题目,有一些基本概念和性质记忆不牢固,导致选择失误。例如22年真题选择第2题考察求微分、变限积分函数求导,平常基础掌握扎实同学,知道 ,而下考场很多同学反馈自己计算完变限积分导数后,随手选择了C,但本题选择D,其实做选择题多的同学有很多干扰项,我们知道微分的定义,首先C是排除的,即使本题不计算,我们浏览选项后,发现C,和D仅仅差一个,其他两个选项都是计算性的,像考研这种正规考试,正确答案都会和干扰项一般长得比较像,本题即使猜答案,D选项为正确的可能性最大。

2)浏览314数农题型,重点掌握考过题型,理解未考过题型的解题思路,冲刺高分
数学农题型解题思路固定,但偶尔也会出现固定题型的变形,未考过题型也需要进行理解解题思路,要求高的学校(中农、浙大、上交等)一定要掌握,要求较低学校选择性掌握。




三、25年真题考情分析
1、考生反馈情况
1)难度依旧较大:经历21年、22年、23年难度较高的三年,同时考前农学考研中心(原农科研辅)团队出的5套模拟卷(模拟卷难度高于21-25年真题),同学反馈25年真题难度相对于21年有降低,和22-24年持平,这就是提前打好预防针的好处。不像21、22年,出现过之前没有出现过的题型,23年、24年所有题型,之前年份全部出现过。
2)计算量依旧较大:25年真题相对来说题型常规,计算量相对和21-24年相比持平,较以前年份大一些。
3)题型常规,难度分布均匀:不像21年数学农第一题

就是一道带三个根号的无穷小的比较,形式很吓人。23年题目难度均一,前几题都是出现过多次的题型。
(4)会出现历年没有考察过的常规题型:24年出现了代数余子式求和伴随矩阵的结合,乍一看看不出来具体考察啥,进行计算后发现是考察代数余子式,要求基础知识扎实
2、试卷结构

相对21年旧大纲来说,新大纲试卷结构有所变化,考试范围虽然没变,但考生直观感觉21、22、23、24年风格与之前截然不同。
原因是:
考纲结构变动为:选择题2个题目,大题减少3个题目(高数、线代、概率论)
旧大纲如何考察:以前高数5道大题,基本上1-5章节内容基本都会有一道大题,或者一问,线代2道大题一般是第四章节线性方程组(其中有些年份考察向量和矩阵都可以转化为方程组的问题)和第五章节特征值和特征向量各一道,概率论2道大题一般是离散型随机变量和连续型随机变量各一道。
新大纲,高数4道大题,线代1道大题,概率论1道大题,试卷结构对于高数影响不大,影响比较大的是线代和概率论,对于线代来说同学们比较熟悉的方程组的求解的一道大题没有了,对于概率论来说,大题考察一道,以前那种送分的离散型随机变量没有了,21年出的离散型随机变量大题,首先根据古典概型求分布律,22年出的一维连续型随机变量,第二问考察连续型随机变量的函数分布,这种题目为概率论的难点。
总的来说线代、概率论送分的大题近两年不在出现,大题都考察的都是各自科目重难点部分。
2、试卷内容分析
题号考试题型考试频率对应资料位置25-1求间断点并判断间断点的类型9次复习全书/真题题型汇总/冲刺模拟卷一25-2比较定积分的大小4次复习全书/真题题型汇总/冲刺模拟卷一25-3计算多元函数的无条件极值6次复习全书/真题题型汇总/冲刺模拟卷四25-4求某点处的偏导数/全微分10次复习全书/真题题型汇总25-5讨论含参数的齐次方程组解的情况3次复习全书/真题题型汇总25-6具体行列式的计算7次复习全书/真题题型汇总/冲刺模拟卷二25-7已知矩阵或矩阵之间的关系式,或者两者均已知,求另外一个矩阵3次复习全书/真题题型汇总/冲刺模拟卷五25-8一维离散型随机变量及其函数的数学期望和方差6次复习全书/真题题型汇总/冲刺模拟卷一25-9二维混合型随机变量及其函数的协方差与相关系数的计算2次复习全书/真题题型汇总25-10求统计量服从的分布7次复习全书/真题题型汇总/冲刺模拟卷三四五25-11有关切线、法线方程的题目12次复习全书/真题题型汇总/冲刺模拟卷一/三25-12定积分的计算-凑微分2次复习全书/真题题型汇总/冲刺模拟卷二25-13已知导数存在,反求参数1次复习全书/真题题型汇总25-14无穷区间反常积分的计算8次复习全书/真题题型汇总/冲刺模拟卷一25-15求抽象方程组的通解或者基础解系2次复习全书/真题题型汇总/冲刺模拟卷五25-16事件的关系与运算的综合运用12次复习全书/真题题型汇总/冲刺模拟卷一四25-17求未定式函数极限-8次复习全书/真题题型汇总/冲刺模拟卷一25-18(1)利用定积分求平面图形的面积9次复习全书/真题题型汇总/冲刺模拟卷一25-18(2)利用定积分求旋转体的体积8次复习全书/真题题型汇总/冲刺模拟卷一25-19(1)一阶线性微分方程求解13次复习全书/真题题型汇总/冲刺模拟卷四25-19(2)求拐点/判断凹凸区间9次复习全书/真题题型汇总/冲刺模拟卷三25-20直角坐标系下计算二重积分8次复习全书/真题题型汇总25-21参数为何值,矩阵可以相似对角化/判断是否能够相似对角化3次复习全书/真题题型汇总25-22(1)求连续性随机变量的函数分布/概率密度函数4次复习全书/真题题型汇总/冲刺模拟卷一25-22(2)一维连续型随机变量及其函数的数学期望和方差8次复习全书/真题题型汇总/冲刺模拟卷一二从试卷分析结果来看,大部分题型都是历年考察过的,只有25-13为之前没有出现过的题型,但是是复习全书有已知极限/连续,反求参数,这个题目是两种的结合。说明近几年考研更加注重综合性。
以上就是关于314数学农所有的分享啦,希望能帮助到正在备考的小伙伴们,如果对数学农考研还有什么不懂的地方,随时欢迎大家来找我交流,祝大家考研都能成功上岸,考上心仪的学校!